Aging and Sugar: A Bitter Truth

Back when I had long, wavy blond hair that fell to my shoulders, I could pedal for long distances each day and wake up the following morning no worse for wear.  I could also eat just about anything. I was calorie agnostic – it didn’t matter what was in the food, so long as it provided me with the energy to spin those cranks from dawn to dusk.

I carried this mindset into my later adult years. For a long time, I never worried too much about, say, snacking on cookies so long as I maintained my active lifestyle, which centered on riding over 2,000 miles a year. Thankfully, a high metabolic activity like cycling does a great job of negating the chronic effects of bad food choices.

Though I had mostly held to a New Year’s resolution of not eating food with added sugar 18 months prior to starting my ride, on the eve of the trek I still adhered to the calorie agnostic mindset. I appreciated that riding across the country meant I would have to eat a lot more -- and “more” meant taking on added proteins and carb-rich sugars. I was happy that I now had permission to place that New Year’s resolution in a lockbox and satisfy my inner cookie monster.

But I learned the hard way such that such a simplistic, high-level understanding obscured two hard facts: 1) not all sugars are created equal and 2) aging has a slippery habit of, like an animal marking its territory, announcing its presence in obvious ways.

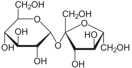
Not quite twins: glucose (left) and fructose (right) bond to form sucrose

I woke up in Decatur, Nebraska on Day 37 in a campground on the western bank of the Missouri River. It was the sixth week of the trek and the energy deficit – a cavernous hole I would dig deeper each day -- had caused my dashboard’s power indicators to decline from green to red. Moreover, I was only a few days removed from that tortuous full day against the Nebraskan headwinds and was probably suffering from PTHD (post traumatic headwind disorder).

But I was resolute and game for more. Day 37 would be symbolically significant because it began by crossing a geographical boundary that separated a plains state (Nebraska) and a Midwestern state (Iowa). I crossed the Missouri on an old truss metal bridge (known locally as “the scary assed bridge” because you can see through the beams to the river below while listening to harrowing creaky sounds the trusses make as they respond to the load), and met Joanie in the small city of Onawa, located eight miles east of the river on the rich soil of the broad Missouri alluvial plain. As I locked my bike on Main Street I was intrigued by an audio-visual form of cognitive dissonance. Downtown Onawa looked very much like a stereotypical Midwestern farming town with its historic, attractive two-story red brick buildings sharing the street with bland concrete structures and large utility pickup trucks and massive semitrailers roaring noisily through the town’s center. But this expected Midwestern picture was backed by an unexpected soundtrack: speakers installed on light posts along the street blared classic rock music. As I looked up from my bike, I took in the small city ag scene while listening to AC/DC’s “TNT” with its exhortations to “Lock up your daughter! Lock up your wife!” Wouldn’t a Waylon Jennings or Dolly Parton song have been more appropriate?

With heavy metal in my ears, we scurried across the street to Fannie’s Café, the local eatery where we sat for my second breakfast (and Joanie’s first). I soon dug into a stack of blueberry flapjacks smothered with syrup, washed down with a cup of coffee. Loaded with rocket fuel and uplifted by Onawa’s solid feeling of community, I then continued eastward over the silty surface towards the picturesque Loess Hills. But instead of an energy surge, I soon felt fatigued. After only seven miles, I was running on fumes. I pulled off the road and found a gazebo with a picnic table at the edge of the small village of Turin. I didn’t so much sit down as pour myself onto the bench, where I was soon supine. What was happening to me? Once again, dark thoughts of not being able to complete the trek came crashing down, this time like a powerful wave hitting the rocks, spraying salty foam in all directions. I mentally scrambled to find a root cause for my lethargy. Soon, a dim light bulb flickered in my head: my mind’s eye saw an image of the clear glass dispenser filled with syrup and of me slathering my pancakes with the dark, viscous liquid. With my “calories are calories” mindset, I had assumed the faux maple syrup would be a necessary component of my rocket-fuel combo. Instead, it had wiped me out completely.

I should have used that clover honey instead….

High fructose corn syrup (or just plain corn syrup) is the main ingredient in the highly processed food product large corporations like Conagra or PepsiCo sell as pancake “syrup.” I think of High Fructose Corn Syrup as a modern dietary version of the Greek mythological sirens. The fructose calls to us with a sweet, alluring promise of pleasure, but only leads to nutritional doom.

Biochemically speaking, your body processes fructose the same way it does with alcohol and leads to the same outcomes when chronically abused, such as obesity, hypertension, and pancreatitis, to name just a few. Fructose is processed by the liver and is not metabolized in the bloodstream like glucose, which delivers fuel to all the body’s tissues to meet its immediate energy needs. And unlike natural sugars found in plants and fruits, fructose triggers a fast spike in blood sugar followed by an equally sudden drop, causing what athletes call by its onomatopoeic, non-scientific name, “bonk” (which likely describes the sound a tired body makes as it hits the ground -- and this is exactly what would have happened to me if not for that picnic table bench).

This one has corn syrup AND high fructose corn syrup.

I had a similar experience on day 58, the beginning of the last full week of riding. In that final stage of the trek, my body’s power indicators were now dangerously close to red. To make matters worse, I was nursing an inflamed intercostal rib muscle which bit with sharp, painful incisors whenever I twisted my torso or applied force in a particular way. But I was still resolute: It was to be my first day on the Great Allegheny Passage, a remote rail-trail alongside the Youghiogheny River (known locally as “the Yoke”) through the Pennsylvania highlands, and I meant to enjoy it.

I enjoyed a full-service breakfast in the B&B where I had spent the night. They served pancakes and, once again, I loaded up with syrup (this time dispensed from those annoying single-use rigid plastic sachets). Though I was primed to soak in the beauty of the trail, it didn’t take long for the sugar crash to hit, and even without a headwind on almost level ground, I couldn’t do more but limp along. Resting on a trailside bench in the thick, moist air towards the end of the day’s ride, I wondered why I had unconsciously punished myself. Was I just too weak and brain-fatigued to have learned my lesson? I felt like a poster child for the George Santayana quote “Those who cannot remember the past are condemned to repeat it” or, more ridiculously, a character in a pancake condiment version of the film, Groundhog Day.

The beauty of the Great Allegheny Passage

I wonder if fructose played a role in condemning me to forget. It’s been established how sugar consumption triggers the release of dopamine, reinforcing cravings for and the consumption of sugary foods. When the B&B host dropped the plate of pancakes in front of me, I looked at the syrup sachets and remember thinking “I need some of that for energy.” But it wasn’t a conscious thought. Had I been truly conscious I would have stopped and considered the consequences of my choice instead of letting the memory of sweetness stifle the rationality so desperately required of me. Required, because age would further sour fructose’s deleterious effects.

Though I knew riding cross-country would be harder in my early 60s than the long-distance treks I did in college, I was not prepared for level of exhaustion from the cumulative effort. Like a slow-leaking inner tube, the loss of stamina was a gradual process of physical deflation. Processing fructose is more difficult as we age, largely due to the body’s slower metabolism and reduced muscle mass. The copious amounts of syrup I thought would help me ripped open an even larger hole in that inner tube, aggravating my already weakened state, resulting in the two bonking events where misery first assaulted and then beat the crap out of me.

Accepting the loss of aging’s reduction of ability can be a bitter pill to swallow, especially for active and competitive fucks like me. Sugar’s false promise makes that already bitter pill disturbingly unpalatable.

Previous
Previous

Cornbelt Conversations

Next
Next

Front Stage/Backstage in Jackson, Wyoming